[单选题]

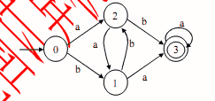
下图所示的有限自动机中,0 是初始状态,3 是终止状态,该自动机可以识别 (22) 。

(22)

A. abab

B. aaaa

C. bbbb

D. abba

参考答案与解析:

相关试题

 下图所示的有限自动机中,0 是初始状态,3 是终止状态,该自动机可以识别 (