[单选题]

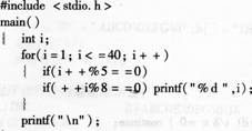
有以下程序:

程序执行后的输出结果是( )。

A.5

B.24

C.32

D.40

参考答案与解析:

相关试题

有以下程序: 程序执行后的输出结果是( )。