[试题]

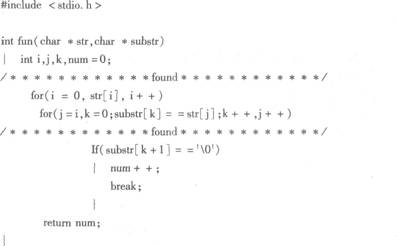
下列给定程序中函数fun的功能是:统计substr所指的字符串在str所指的字符串中出现的次数。 例如,若字符串为aaas lkaaas,子字符串为as;则应输出2。 请改正程序中的错误,使它能得出正确的结果。 注意:部分源程序在文件MODll.C中,不得增行或删行,也不得更改的程序的结构!

参考答案与解析:

相关试题

下列给定程序中函数fun的功能是:统计substr所指的字符串在str所指的字符