
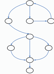
(44)
A.V(G)=2
B.V(G)=4
C.V(G)=9
D.V(G)=11
[单选题]计算以下控制流程图的环路复杂度V(G),正确答案是(44)。A.V(G)=2B.V(G)=4C.V(G)=9D.V(G)=11
[单选题]以下控制流程图的环路复杂性V(G)等于(54)。A.5B.6C.9D.12
[单选题]以下控制流程图的环路复杂性V(G)等于(54)。A.4B.5C.6D.1
[单选题] 以下控制流程图的环路复杂性V(G)等于(54) 。(54) A.4 B.5 C.6 D.1
[单选题]试题(54)以下控制流程图的环路复杂性V(G)等于(54)。(54)A. 5B. 6C. 9D. 12
[单选题]在程序控制流图中,有8条边,6个节点,则控制流程图的环路复杂性V(G)等于(55)。A.2B.4C.6D.8
[单选题]假设在程序控制流图中有14条边、10个节点,则控制流程图的环路复杂性V(G)等于______。A.12B.8C.6D.4A.B.C.D.
[单选题] 假设在程序控制流图中,有 14 条边,10 个节点,则控制流程图的环路复杂性V(G)等于是(54) 。(54)A.12B.8C.6D.4
[单选题]假设在程序控制流图中,有14条边,10个节点,则控制流程图的环境复杂性 V(G)等于是(54)。A.12B.8C.6D.4
[单选题]下面是某程序的流程图,它的环路复杂性是(13)个。A.4B.5C.6D.7