
A.)5
B.)6
C.)7
D.)8
[单选题]下列程序段执行时在屏幕上显示的结果是( )。A.)3B.)4C.)5D.)6
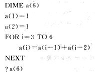
[单选题]( 18 )下列程序段执行时在屏幕上显示的结果 是D. IME a(6)a (1)=1a (2)=1F. OR i=3 TO 6a (i)=a(i-1)+a(i-2)N EXT?a(6)A.)5B.)6C.)7D.)8
[单选题]下列程序段执行时在屏幕上显示的结果是D.IME a(6)a(I)=1a(2)=lF.OR i=3 TO 6a(i)=a(i-1)+a(i-2)NEXT?a(6)A.5B.6C.7D.8
[单选题]TD-LTE的上下行分配方式有()种A.5B.6C.7D.8
[单选题]LTE协议中,定义了几种PDSCH的传输模式()A.5B.6C.7D.8
[单选题]复殖吸虫的生活史可分几个阶段()A.5B.6C.7D.8
[单选题]uap平台为我们提供了几个gis服务接口()A.5B.6C.7D.8
[单选题]下列程序段执行时在屏幕上显示的结果是( )。D.IMEA(3,2)F.ORI=1TO3F.ORJ=1TO2A.(1,J)=I+JNEXTNEXT?A(5)
[单选题]人体必需的氮基酸有几种A.5B.6C.7D.8E.9
[单选题]期门所在的肋间隙是( )A.第5B.第6C.第7D.第8E.第9