
56)
A. 1
B. 2
C. 3
D. 4
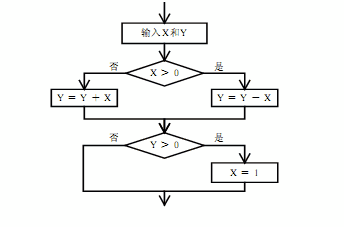
[单选题]对于如下的程序流程,若采用语句覆盖法设计测试案例(使每条语句都至少执行1次),则至少需要设计(56)个测试案例。A.1B.2C.3D.4
[单选题]对于如下的程序流程,当采用语句覆盖法设计测试案例时,至少需要设计(34)个测试案例。A.1B.2C.3D.4
[单选题] 对于如下的程序流程,当采用语句覆盖法设计测试案例时,至少需要设计(34)个测试案例。34)A. 1B. 2C. 3D. 4
[单选题]对于如图7-5所示的程序流程图中,当采用语句覆盖法设计测试案例时,至少需要设计(36)个测试案例。A.3B.4C.2D.1
[试题]白盒法的具体设计程序测试方法有语句覆盖、()、()、和路径覆盖。A.因果覆盖B.分支(判定)覆盖C.判断覆盖D.条件覆盖
[多选题] 白盒法的具体设计程序测试方法有语句覆盖、()、()、和路径覆盖。A . 因果覆盖B . 分支(判定)覆盖C . 判断覆盖D . 条件覆盖
[试题]()使程序中每一条可能的路径至少执行一次。A.语句覆盖B.判定覆盖C.条件覆盖D.路径覆盖
[单选题]程序的流程图如下图所示,采用路径覆盖法进行测试,则至少需要几个测试用例可以覆盖所有可能的路径______。A.5B.6C.7D.8
[单选题]以下关于覆盖测试的说法中,错误的是A.) 语句覆盖要求每行代码至少执行一次B.) 在路径测试中必须用不同的数据重复测试同一条路径C.) 路径测试不是完全测试,即使每条路径都执行了一次,程序还是可能存在缺陷D.) 分支覆盖应使程序中每个判定的真假分支至少执行一次A.B.C.D.
[单选题]()是选择若干个测试用例,运行被测程序,使得程序中的每个可执行语句至少执行一次。A .条件覆盖B .组合覆盖C .判定覆盖D . D.语句覆盖