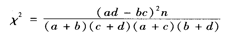
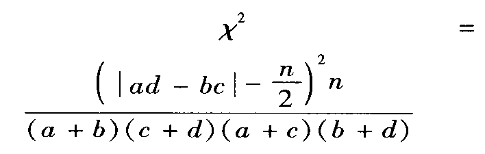
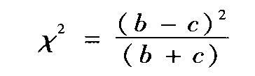
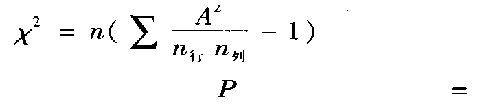
在四格表的x2检验中,若T<1或n≤40时应选用()。
A . ['
B . 
C . 
D . 
E . 
[单选题]在四格表的x2检验中,若1≤T<5且n>40时应选用()。A . ['B . C . D . E .
[单选题,B1型题] 在四格表的X2检验中,若T<1或n<40时应选用()A . AB . BC . CD . DE . E
[单选题,B1型题] 在四格表的X2检验中,若1≤T<5且n≥40时应选用()A . AB . BC . CD . DE . E
[单选题]四格表X2检验,当n≥40,且1≤T<5时,校正X2=4.89与未校正X2值相比,可使()A.P值减小B.P值增大C.P值等于1D.P值不变E.P值可
[单选题,A1型题] 成组设计四格表资料的X2检验,选用基本公式X2=的条件是()A . A≥5B . T≥5C . A≥5且T≥5D . n≥40且T≥5E . n≥40且A≥5
[单选题,A型题] 四格表x2;检验中x2;<x(20.60v);,可以认为()A . 两样本率不同B . 两样本率相同C . 两总体率不同D . 两总体率相同E . 不能确定
[单选题]四格表资料的x2检验,其检验统计量x2值()A.小于3.84B.大于3.84C.大于0.05D.小于O.05E.不会是负数
[单选题]成组设计四格表资料的X2检验,选用基本公式X2=∑的条件是()A . A≥5B . T≥5C . A≥5且T≥5D . n≥40且T≥5E . n≥40且A≥5
[单选题,A1型题] 成组设计四格表资料的X2检验,选用基本公式的条件是()A . A≥5B . T≥5C . A≥5且T≥5D . n≥40且T≥5E . n≥40且A≥5
[单选题]对四格表X2检验,其自由度等于A.n-1B.3C.1D.2E.4