[单选题,A1型题]

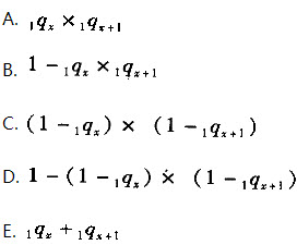
寿命表中,若x岁到x+1岁的死亡概率为,嚷,x+1岁到x+2岁的死亡概率为,则x岁到x+2岁的死亡概率为()

A . A

B . B

C . C

D . D

E . E

参考答案与解析:

相关试题

寿命表中,若x岁到x+1岁的死亡概率为,嚷,x+1岁到x+2岁的死亡概率为,则x