A .
B .
C .
D .
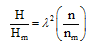
[单选题]水泵叶轮相似定律的第三定律(功率相似定律),即N~n、D的关系为()A .B .C .D .
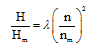
[单选题]水泵叶轮相似定律的第二定律(扬程相似定律)可以简化为( )。A.B.C.D.
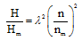
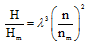
[单选题]水泵叶轮相似定律的第一定律(流量相似定律)可以简化为( )。A.B.C.D.
[单选题]水泵叶轮相似定律的第一定律(流量相似定律)可以简化为( )。A.B.C.D.
[单选题]水泵第二相似定律是确定两台工况相似水泵的()之间关系。A . 流量B . 扬程C . 轴功率D . 转速
[填空题] 水泵叶轮的相似定律是基于几何相似和()的基础上的。
[单选题]根据叶轮相似定律,水泵转速变化时,水泵流量随转速变化的关系是( )。A.流量不变B.一次方关系C.二次方关系D.三次方关系
[单选题]实际水泵与模型水泵的尺寸相差不大,且工况相似时,叶轮相似定律可表示为( )。A.B.C.D.
[单选题]若两台水泵满足几何相似和( )的条件,则称为工况相似的水泵,符合叶轮的相似定律。A.形状相似B.条件相似C.水流相似D.运动相似
[单选题]若两台水泵满足几何相似和( )的条件,则称为工况相似的水泵,符合叶轮的相似定律。A.形状相似B.条件相似C.水流相似D.运动相似