[问答题]

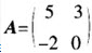
设矩阵,若存在一矩阵使得A=PBP。

试求(1)矩阵B;(2)B10

参考答案与解析:

相关试题

设A,B都是n阶矩阵,若有可逆矩阵P使得P-1AP=B,则称矩阵A与矩阵B()。

[单选题]设A,B都是n阶矩阵,若有可逆矩阵P使得P-1AP=B,则称矩阵A与矩阵B()。A . 等价B . 相似C . 合同D . 正交

  • 查看答案
  • 设A是3阶矩阵,P=(α1,α2,α3)是3阶可逆矩阵,且,若矩阵Q=(α1,α

    [单选题]设A是3阶矩阵,P=(α1,α2,α3)是3阶可逆矩阵,且,若矩阵Q=(α1,α2,α3),则Q-1AQ=()。A . B . C . D .

  • 查看答案
  • 设A为4×4矩阵,B为5×5矩阵,且|A|=2,|B|=-2,则|-||A||B|=,|-||B||A|=----------.

    [问答题]设A为4×4矩阵,B为5×5矩阵,且|A|=2,|B|=-2,则|-||A||B|=,|-||B||A|=----------.

  • 查看答案
  • 设A为4×4矩阵,B为5×5矩阵,且|A|=2,|B|=-2,则|-||A||B|=---------,|-||B||A|=-------------.

    [问答题]设A为4×4矩阵,B为5×5矩阵,且|A|=2,|B|=-2,则|-||A||B|=---------,|-||B||A|=-------------

  • 查看答案
  • 设A为4×4矩阵,B为5×5矩阵,且|A|=2,|B|=-2,则|-||A||B|=------------,|-||B||A|=-----------.

    [问答题]设A为4×4矩阵,B为5×5矩阵,且|A|=2,|B|=-2,则|-||A||B|=------------,|-||B||A|=----------

  • 查看答案
  • 设矩阵ABC均为n阶矩阵,若AB=C,则B可逆,则(  ).

    [单选题]设矩阵ABC均为n阶矩阵,若AB=C,则B可逆,则(  ).A.矩阵C的行向量组与矩阵A的行向量组等价B.矩阵C的列向量组与矩阵A的列向量组等价C.矩

  • 查看答案
  • 设A为m×n矩阵,B为n×m矩阵,若AB=E,则()。

    [单选题]设A为m×n矩阵,B为n×m矩阵,若AB=E,则()。A.r(A)=m,r(B)=mB.r(A)=m,r(B)=nC.r(A)=n,r(B)=mD.r

  • 查看答案
  • 若存在可逆矩阵B使得实对称矩阵A=BTB,则A的主对角线上的元素全大于O.

    [问答题]若存在可逆矩阵B使得实对称矩阵A=BTB,则A的主对角线上的元素全大于O.

  • 查看答案
  • 若存在可逆矩阵B使得实对称矩阵A=BTB,则A的主对角线上的元素全大于O.

    [问答题]若存在可逆矩阵B使得实对称矩阵A=BTB,则A的主对角线上的元素全大于O.

  • 查看答案
  • 若存在可逆矩阵B使得实对称矩阵A=BTB,则A的主对角线上的元素全大于O.

    [问答题]若存在可逆矩阵B使得实对称矩阵A=BTB,则A的主对角线上的元素全大于O.

  • 查看答案
  • 设矩阵,若存在一矩阵使得A=PBP。试求(1)矩阵B;(2)B10。