[问答题]

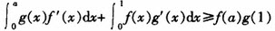
设f(x),g(x)在[0,1]上的导数连续,且f(0)=0,f′(x)≥0,g′(x)≥0。证明:对任何a∈[O,1],有

参考答案与解析:

相关试题

设f(x),g(x)在[0,1]上的导数连续,且f(0)=0,f’(x)≥0,g'(x)≥0。证明:对任何a∈[0,1],有<img border="0" styl

[问答题]设f(x),g(x)在[0,1]上的导数连续,且f(0)=0,f’(x)≥0,g'(x)≥0。证明:对任何a∈[0,1],有

  • 查看答案
  • 设函数f(x)与g(x)在[0,1]上连续,且f(x)≤g(x),且对任何的c∈(0,1)(  ).

    [单选题]设函数f(x)与g(x)在[0,1]上连续,且f(x)≤g(x),且对任何的c∈(0,1)(  ).A.B.C.D.

  • 查看答案
  • 设函数f(x)与g(x)在[0,1]上连续,且f(x)≤g(x),且对任何的c∈(0,1)(  ).

    [单选题]设函数f(x)与g(x)在[0,1]上连续,且f(x)≤g(x),且对任何的c∈(0,1)(  ).A.B.C.D.

  • 查看答案
  • 设函数f(x)与g(x)在[0,1]上连续,且f(x)≤g(x),且对任何的c∈(0,1)(  ).

    [单选题]设函数f(x)与g(x)在[0,1]上连续,且f(x)≤g(x),且对任何的c∈(0,1)(  ).A.B.C.D.

  • 查看答案
  • 设函数f(x)与g(x)在[0,1]上连续,且f(x)≤g(x),且对任何的c∈(0,1)()。

    [单选题]设函数f(x)与g(x)在[0,1]上连续,且f(x)≤g(x),且对任何的c∈(0,1)()。A.B.C.D.

  • 查看答案
  • 设函数f(x)与g(x)在[0,1]上连续,且f(x)≤g(x),且对任何的c∈(0,1)()。

    [单选题]设函数f(x)与g(x)在[0,1]上连续,且f(x)≤g(x),且对任何的c∈(0,1)()。A.B.C.D.

  • 查看答案
  • 设函数f(x)与g(x)在[0,1]上连续,且f(x)≤g(x),且对任何的c∈(0,1)()

    [单选题]设函数f(x)与g(x)在[0,1]上连续,且f(x)≤g(x),且对任何的c∈(0,1)()A.B.C.D.

  • 查看答案
  • 设函数f(x)与g(x)在[0,1]上连续,且f(x)≤g(x),且对任何的c∈(0,1)()

    [单选题]设函数f(x)与g(x)在[0,1]上连续,且f(x)≤g(x),且对任何的c∈(0,1)()A.B.C.D.

  • 查看答案
  • 设函数f(x)与g(x)在[0,1]上连续,且f(x)≤g(x),且对任何的c∈(0,1)()

    [单选题]设函数f(x)与g(x)在[0,1]上连续,且f(x)≤g(x),且对任何的c∈(0,1)()A.B.C.D.

  • 查看答案
  • 设函数f(x)与g(x)在[0,1]上连续,且f(x)≤g(x),且对任何的c∈(0,1)()

    [单选题]设函数f(x)与g(x)在[0,1]上连续,且f(x)≤g(x),且对任何的c∈(0,1)()A.B.C.D.

  • 查看答案
  • 设f(x),g(x)在[0,1]上的导数连续,且f(0)=0,f′(