
A.
B.
C.
D.
[单选题]两个变量(x,y),其观测值为(xi,yi),i=1,2,……,n。当相关系数的绝对值|r|大于某个临界值时,就认为它们之间存在一定的线性相关关系。若给定显著水平a,则临界值为( )。A.B.C.D.
[单选题]两个变量(x,y),其观测值为(xi,yi),i=1,2,…,n。当相关系数的绝对值|r|大于某个临界值时,就认为它们之间存在一定的线性相关关系。若给定显著水平α,则临界值为( )。A.r1-α(n-1)B.r1-α/2(n-1)C.r1-α(n-2)D.r1-α/2(n-2)
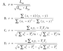
[单选题]两个变量(x,y),其观测值为(xi,yi),i=1,2,…,n。则简单相关系数r的表达式不正确的是( )。A.B.C.D.
[单选题]两个变量(x,y),其观测值为(xi,yi),i=1,2,…,n。则简单相关系数r的表达式不正确的是( )。A.B.C.D.
[单选题]两个变量(x,y),其观测值为(xi,yi),i=1,2,…,n。则简单相关系数r的表达式不正确的是( )。A.B.C.D.
[单选题]两个变量(X,Y),其观测值为(X1,y1),i=1,2,……,n,则简单相关系数r的表达式正确的是( )。A.B.C.D.E.
[单选题]两个变量(X,Y),其观测值为(X1,y1),i=1,2,……,n,则简单相关系数r的表达式正确的是( )。A.B.C.D.E.
[多选题]两个变量(x,y),其观测值为(xi,yi),i=1,2,…,若显著性水平为α,相关系数为r,则下列说法正确的有( )。A.-1≤r≤1B.r=0,
[单选题]两个变量(x,y),其观测值为(xi,yi,i=1,2,…,n。若显著性水平为a,简单相关系数为 r,则下列说法正确的有( )。A.-1≤r≤1B.r=0,x、y之间存性相关C.r=-1,完全负线性相关D.相关系数检验的临界值表示为E.r=0,x、y之间不存性相关
[单选题]收集了n组数据(xi,yi),i=1,2,…,n,求得两个变量间的相关系数为0,则下列说法正确的是( )。A.两个变量独立B.两个变量间没有线性相关关系C.两个变量间可能有函数关系D.两个变量间一定有函数关系E.两个变量没任何关系