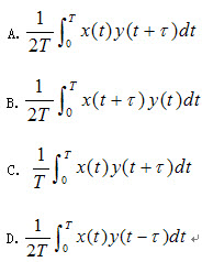
已知x(t)和y(t)为两个周期信号,T为共同的周期,其互相关函数的表达式为()。
A .A
B .B
C .C
D .D
[填空题] 已知x(t)和y(t)为两个周期函数,T为其共同周期,其互相关函数为()。
[填空题] 若信号满足关系式y(t)=kx(t)(式中k为常数)则其互相关函数Pxy(t)()。
[单选题]f(x)是以T为周期的可微函数,则下列函数重以T为周期的函数是()A.B.C.D.
[单选题]f(x)是以T为周期的可微函数,则下列函数重以T为周期的函数是()A.B.C.D.
[单选题]f(x)是以T为周期的可微函数,则下列函数重以T为周期的函数是()A.B.C.D.
[单选题]f(x)是在(一∞,+∞)内以T为周期的函数,下列函数中以T为周期的函数是( ).A.B.C.D.
[单选题]f(x)是在(一∞,+∞)内以T为周期的函数,下列函数中以T为周期的函数是( ).A.B.C.D.
[单选题]f(x)是在(一∞,+∞)内以T为周期的函数,下列函数中以T为周期的函数是( ).A.B.C.D.
[单选题]f(x)是在(一∞,+∞)内以T为周期的函数,下列函数中以T为周期的函数是()A.B.C.D.
[单选题]f(x)是在(一∞,+∞)内以T为周期的函数,下列函数中以T为周期的函数是()A.B.C.D.