[单选题]

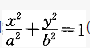
椭圆(a>b>0)绕x轴旋转得到的旋转体体积V1与绕y轴旋转得到的旋转体体积V2之间的关系为:()

A . V1>V2

B . V12

C . V1=V2

D . V1=3V2

参考答案与解析:

相关试题

求y=x2与y=1,y=0所围图形绕x轴旋转的旋转体体积。

[问答题]求y=x2与y=1,y=0所围图形绕x轴旋转的旋转体体积。

  • 查看答案
  • 设曲线方程为y=e-x(x≥0).<br />(1)把曲线y=e-x(x≥0)与x轴y轴和直线x=ξ(ξ>0)所围成平面图形绕x轴旋转一周,得一旋转体,求此旋转体的体积V(ξ)及满足

    [问答题]设曲线方程为y=e-x(x≥0).(1)把曲线y=e-x(x≥0)与x轴y轴和直线x=ξ(ξ>0)所围成平面图形绕x轴旋转一周,得一旋转体,求此旋转体

  • 查看答案
  • 设曲线方程为y=e-x(x≥0).<br />(1)把曲线y=e-x(x≥0)与x轴y轴和直线x=ξ(ξ>0)所围成平面图形绕x轴旋转一周,得一旋转体,求此旋转体的体积V(ξ)及满足

    [问答题]设曲线方程为y=e-x(x≥0).(1)把曲线y=e-x(x≥0)与x轴y轴和直线x=ξ(ξ>0)所围成平面图形绕x轴旋转一周,得一旋转体,求此旋转体

  • 查看答案
  • 设曲线方程为y=e-x(x≥0).<br />(1)把曲线y=e-x(x≥0)与x轴y轴和直线x=ξ(ξ>0)所围成平面图形绕x轴旋转一周,得一旋转体,求此旋转体的体积V(ξ)及满足

    [问答题]设曲线方程为y=e-x(x≥0).(1)把曲线y=e-x(x≥0)与x轴y轴和直线x=ξ(ξ>0)所围成平面图形绕x轴旋转一周,得一旋转体,求此旋转体

  • 查看答案
  • 由曲线与直线x=1及x轴所围图形绕y轴旋转而成的旋转体的体积是().

    [单选题]由曲线与直线x=1及x轴所围图形绕y轴旋转而成的旋转体的体积是().A . 3/7πB . 4/7πC . π/2D . π

  • 查看答案
  • 曲线围成的平面图形绕x轴旋转产生的旋转体体积是()。

    [单选题]曲线围成的平面图形绕x轴旋转产生的旋转体体积是()。A . B . C . D .

  • 查看答案
  • 求图形y2=2px,0≤x≤a绕x轴旋转所成旋转体的质心(设密度ρ=1).

    [问答题]求图形y2=2px,0≤x≤a绕x轴旋转所成旋转体的质心(设密度ρ=1).

  • 查看答案
  • 求图形y2=2px,0≤x≤a绕x轴旋转所成旋转体的质心(设密度ρ=1).

    [问答题]求图形y2=2px,0≤x≤a绕x轴旋转所成旋转体的质心(设密度ρ=1).

  • 查看答案
  • 求图形y2=2px,0≤x≤a绕x轴旋转所成旋转体的质心(设密度ρ=1).

    [问答题]求图形y2=2px,0≤x≤a绕x轴旋转所成旋转体的质心(设密度ρ=1).

  • 查看答案
  • 第一象限内曲线y2+6x=36和坐标轴所围成的图形绕x轴旋转所生成的旋转体的体积

    [单选题]第一象限内曲线y2+6x=36和坐标轴所围成的图形绕x轴旋转所生成的旋转体的体积为().A . 36πB . 54πC . 72πD . 108π

  • 查看答案
  • 椭圆(a>b>0)绕x轴旋转得到的旋转体体积V1与绕y轴旋转得到的旋转体体积V2