则加入保单中规定免赔额500元后,每次理赔事件中理赔额Y的密度函数为( )。A.
B.
C.
D.
E.
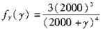
[单选题]已知某险种的实际损失额分布为帕累托分布,其密度函数为:则加入保单中规定免赔额500元后,每次理赔事件中理赔额Y的密度函数为( )。A.B.C.D.E
[单选题]假设某险种的损失额X服从帕累托分布,分布密度为:若保单规定了免赔额为500元,保单限额为3000元,记每次损失事件的实际赔付额为Y,则E(Y)=(
[单选题]假设某险种的损失额X服从帕累托分布,分布密度为:若保单规定了免赔额为500元,保单限额为3000元,记每次损失事件的实际赔付额为Y,则E(Y)=(
[单选题]已知损失额的分布函数为:其中θ和γ为未知参数。现随机抽取11个样本:10,35,80,86,90,120,158,180,200,210,1500用4
[单选题]已知损失额的分布函数为:其中θ和γ为未知参数。现随机抽取11个样本:10,35,80,86,90,120,158,180,200,210,1500用4
[单选题]假设索赔额分布为帕累托分布,其密度函数为随机20个索赔额样本为:27、82、115、126、155、161、243、294、340、384、457、6
[单选题]已知某险种的实际损失额X的分布函数为:若保单规定:损失额低于1000元就全部赔偿,若损失额高于1000元则只赔偿1000元。则被保险人所获得的实际赔付
[单选题]已知某险种的实际损失额X的分布函数为:若保单规定:损失额低于1000元就全部赔偿,若损失额高于1000元则只赔偿1000元。则被保险人所获得的实际赔付
[单选题]已知某险种的实际损失额的分布为:若保单规定免赔额为1,记Y为理赔额,则E(Y)=( )。A.6.75B.5.75C.4.75D.3.75E.2.75
[单选题]已知某险种的实际损失额的分布为:若保单规定免赔额为1,记Y为理赔额,则E(Y)=( )。A.6.75B.5.75C.4.75D.3.75E.2.75