[单选题]

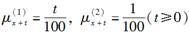
一个双减因模型的信息如下:则E(T|J=2)为(  )。

A.7.42

B.7.50

C.7.63

D.7.85

E.7.91

参考答案与解析:

相关试题

一个双减因模型的信息如下:<img border="0" src="https://img.zhaotiba.com/fujian/20220830/jaxaegs

[单选题]一个双减因模型的信息如下:则E(T|J=2)为(  )。A.7.42B.7.50C.7.63D.7.85E.7.91

  • 查看答案
  • 对于一个双减因模型,已知:<img border="0" src="https://img.zhaotiba.com/fujian/20220830/nmjc2wd

    [单选题]对于一个双减因模型,已知:则下列说法正确的有(  )。(1)第一种减因造成的独立终止率;(2)第二种减因造成的独立终止率;(3)总存活概率=0.708

  • 查看答案
  • 对于一个双减因模型,已知:<img border="0" src="https://img.zhaotiba.com/fujian/20220830/4qdkuuo

    [单选题]对于一个双减因模型,已知:则下列说法正确的有(  )。(1)第一种减因造成的独立终止率;(2)第二种减因造成的独立终止率;(3)总存活概率=0.708

  • 查看答案
  • 对于一个两减因生存模型,<img border="0" src="https://img.zhaotiba.com/fujian/20220830/fzynqawv

    [单选题]对于一个两减因生存模型,A.1/10B.1/7C.1/5D.3/4E.4/5

  • 查看答案
  • 对于一个两减因生存模型,<img border="0" src="https://img.zhaotiba.com/fujian/20220830/sjxthvjx

    [单选题]对于一个两减因生存模型,A.1/10B.1/7C.1/5D.3/4E.4/5

  • 查看答案
  • 对于一个双减因模型,已知独立终止率满足:<img border="0" src="https://img.zhaotiba.com/fujian/20220830/

    [单选题]对于一个双减因模型,已知独立终止率满足:在各伴随单风险模型中,每一个原因在年龄内均服从均匀分布,则终止概率=(  )。A.0.2572B.0.2944

  • 查看答案
  • 对于一个双减因模型,已知独立终止率满足:<img border="0" src="https://img.zhaotiba.com/fujian/20220830/

    [单选题]对于一个双减因模型,已知独立终止率满足:在各伴随单风险模型中,每一个原因在年龄内均服从均匀分布,则终止概率=(  )。A.0.2572B.0.2944

  • 查看答案
  • 对于一个三减因生存模型,已知:<img border="0" src="https://img.zhaotiba.com/fujian/20220830/tbzmc

    [单选题]对于一个三减因生存模型,已知:每一种终止原因在各年龄内均服从均匀分布,A.0.52B.0.63C.0.72D.0.75E.0.81

  • 查看答案
  • 对于一个三减因生存模型,已知:<img border="0" src="https://img.zhaotiba.com/fujian/20220830/sq2br

    [单选题]对于一个三减因生存模型,已知:每一种终止原因在各年龄内均服从均匀分布,A.0.52B.0.63C.0.72D.0.75E.0.81

  • 查看答案
  • 在三减因模型中给出<img border="0" src="https://img.zhaotiba.com/fujian/20220830/bnlbeimnssy

    [单选题]在三减因模型中给出,则=(  )。A.0.33B.0.13C.0.23D.0.03E.0.43

  • 查看答案
  • 一个双减因模型的信息如下:<img border="0" src="https://img.zhaotiba.com/fujian/20220830/h2bwg3o