[单选题]

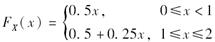
假设一个健康险的分布为符合泊松分布,索赔次数服从Possion(3),每次索赔额服从的分布函数为单位为万元。根据[0,1]区间上均匀分布R的随机数列0.1247,0.4121模拟前两年的索赔次数;根据[0,1]区间上均匀分布R的随机数列0.3,0.6和0.9模拟每次索赔额。保险公司对于每年的索赔额的免赔额为5000元。则这两年内保险公司给付总数的模拟结果分别为(  )。

A.1000,21000

B.1500,21000

C.1000,26000

D.1100,25000

E.1500,26000

参考答案与解析:

相关试题

假设一个健康险的分布为符合泊松分布,索赔次数服从Possion(3),每次索赔额服从的分布函数为<img border="0" style="width: 212p

[单选题]假设一个健康险的分布为符合泊松分布,索赔次数服从Possion(3),每次索赔额服从的分布函数为,单位为万元。根据[0,1]区间上均匀分布R的随机数列

  • 查看答案
  • 假设一个健康险的分布为符合泊松分布,索赔次数服从Possion(3),每次索赔额服从的分布函数为<img border="0" src="https://img.z

    [单选题]假设一个健康险的分布为符合泊松分布,索赔次数服从Possion(3),每次索赔额服从的分布函数为单位为万元。根据[0,1]区间上均匀分布R的随机数列0

  • 查看答案
  • 已知索赔额分布服从伽玛分布,其密度函数为<br /><img border="0" style="width: 276px; height: 42px;

    [单选题]已知索赔额分布服从伽玛分布,其密度函数为随机的10个索赔额样本:1500、6000、3500、3800、1800、5500、4800、4200、390

  • 查看答案
  • 某险种的年索赔次数服从参数为λ的泊松分布,参数λ的先验分布如下:<br /><img border="0" src="https://img.zhaot

    [单选题]某险种的年索赔次数服从参数为λ的泊松分布,参数λ的先验分布如下:假设第一年某保单发生10次索赔,则该保单在第二年索赔次数的Bayes信度估计值为(  

  • 查看答案
  • S服从复合泊松分布,泊松参数为λ=ln2,个体理赔额的概率函数为:<br /><img border="0" style="width: 205px;

    [单选题]S服从复合泊松分布,泊松参数为λ=ln2,个体理赔额的概率函数为:则下面说法正确的是(  )。A.S服从几何分布B.S服从二项分布C.S服从泊松分布D

  • 查看答案
  • 假设索赔额分布为帕累托分布,其密度函数为<br /><img border="0" style="width: 305px; height: 52px;

    [单选题]假设索赔额分布为帕累托分布,其密度函数为随机20个索赔额样本为:27、82、115、126、155、161、243、294、340、384、457、6

  • 查看答案
  • 模拟一个复合分布的赔付。其中:<br />(1)索赔次数N服从二项分布<img border="0" style="width: 238px; heig

    [单选题]模拟一个复合分布的赔付。其中:(1)索赔次数N服从二项分布均值为8。(2)赔付额均匀分布于{1,2,3,4,5,6,7,8)。(3)赔付额相互独立,且

  • 查看答案
  • 假设索赔额分布为指数分布<img border="0" style="width: 148px; height: 35px;" src="htt

    [单选题]假设索赔额分布为指数分布随机20个索赔额样本为:27、82、115、126、155、161、243、294、340、384、457、680、855、8

  • 查看答案
  • 设聚合理赔S服从参数为λ=2的复合泊松分布,个别理赔额变量X的分布如下:<br /><img border="0" style="width: 183p

    [单选题]设聚合理赔S服从参数为λ=2的复合泊松分布,个别理赔额变量X的分布如下:则P/{S≤500/A.0.31B.0.45C.0.48D.0.50E.0.5

  • 查看答案
  • 设聚合理赔S服从参数为λ=2的复合泊松分布,个别理赔额变量X的分布如下:<br /><img border="0" style="width: 183p

    [单选题]设聚合理赔S服从参数为λ=2的复合泊松分布,个别理赔额变量X的分布如下:则P/{S≤500/A.0.31B.0.45C.0.48D.0.50E.0.5

  • 查看答案
  • 假设一个健康险的分布为符合泊松分布,索赔次数服从Possion(3),每次索赔额服从的分布函数为<img border="0" style="width: 215p