A.
B.
C.
D.
E.
[单选题]下列表达式中正确的是( )。A.5++B.(a+b)++C.++(a+B)D.++x
[单选题]下列表达式中正确的是A.5++B.(a+b)++C.++(a+b)D.++x
[单选题]下列表达式中正确的是()。A . P绝=P表+P大B . P表=P绝+P大C . P绝=Psub>表-P大D . P表=P大-P绝
[单选题]下列表达式中正确的是A.5++B.(a+b) ++C.++(a+b)D.++x
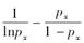
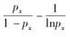
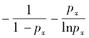
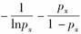
[单选题]下列表达式中正确的是( )。A.B.C.mx为中心死亡率,则在死亡时间均匀分布的假设下有:qx=D.在死亡时间均匀分布的假设下,Lx=E.
[单选题]下列表达式中正确的是( )。A.B.C.mx为中心死亡率,则在死亡时间均匀分布的假设下有:qx=D.在死亡时间均匀分布的假设下,Lx=E.
[多选题] 下列表达式中正确的有?()。A . 速动比率=速动资产/流动负债B . 资产净利率=销售净利率×资产周转率C . 权益净利率/资产净利率=权益乘数D . 每股收益=普通股股东净利润/流动在外普通股股数
[单选题]在起动的逻辑表达式中,表示满足起动准备条件的逻辑表达式是()。A . YSO=YSC•YSLB . YSC=1C . IH=ISD . YSC=0
[单选题]已知q25=0.04,用μB表示在区间[25,26]上服从Balducci假设下的死亡力,μUDD表示在区间[25,26]上服从均匀分布假设下的死亡力
[单选题]在下列表达式赋值中正确的是()A.double b= 2.5B.float f=1.8C.char c=”a”D.byte b=300