
A.无法拒绝原假设,拒绝原假设
B.拒绝原假设,无法拒绝原假设
C.无法拒绝原假设,无法拒绝原假设
D.拒绝原假设,拒绝原假设
E.无法判断
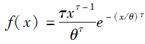
[单选题]韦伯分布的密度函数为来自服从韦伯分布的总体的样本如下:595、700、789、799、1109。已知在θ和τ的极大似然估计点,∑ln(f(xi))=-
[单选题]( ),A.B.C.D.0
[单选题]( ),A.B.C.D.0
[单选题]( ),A.B.C.D.0
[单选题]有以下程序程序的运行结果是( )。A.852B.963C.741D.875421
[单选题]有以下程序:程序运行后的输出结果是( )。A.INT:14B.INT:13C.INT:12D.INT:20
[单选题]有如下程序:执行后的输出结果是( )。A.55B.57C.75D.77
[单选题]有如下类声明:下面关于setValue成员函数的实现中,正确的是( )。A.TestClass::setValue(intn0n=n-0B.void
[单选题]阅读下面的程序:如果两次执行上述程序,且键盘输入分别为4和6,则输出结果分别是( )。A.4,6B.3,6C.4,7D.5,7