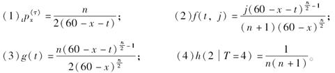
下列说法正确的有( )。
A.(1)(2)(3)(4)
B.(2)(3)
C.(1)(2)(4)
D.(1)(3)(4)
E.(1)(4)
[单选题]已知在一个多减因模型中,死亡力满足:下列说法正确的有( )。A.(1)(2)(3)(4)B.(2)(3)C.(1)(2)(4)D.(1)(3)(4)
[单选题]对于一个双减因模型,已知独立终止率满足:在各伴随单风险模型中,每一个原因在年龄内均服从均匀分布,则终止概率=( )。A.0.2572B.0.2944
[单选题]对于一个双减因模型,已知独立终止率满足:在各伴随单风险模型中,每一个原因在年龄内均服从均匀分布,则终止概率=( )。A.0.2572B.0.2944
[单选题]对于一个三减因生存模型,已知:每一种终止原因在各年龄内均服从均匀分布,A.0.52B.0.63C.0.72D.0.75E.0.81
[单选题]对于一个双减因模型,已知:则下列说法正确的有( )。(1)第一种减因造成的独立终止率;(2)第二种减因造成的独立终止率;(3)总存活概率=0.708
[单选题]对于一个两减因生存模型,A.1/10B.1/7C.1/5D.3/4E.4/5
[单选题]对于一个两减因生存模型,A.1/10B.1/7C.1/5D.3/4E.4/5
[单选题]对于一个双减因模型,已知:则下列说法正确的有( )。(1)第一种减因造成的独立终止率;(2)第二种减因造成的独立终止率;(3)总存活概率=0.708
[单选题]已知在一个双减因模型中,减因1是退保,减因2是死亡,已知:若x=40,则下列说法正确的有( )。(1)40岁的参保人在70岁时,因为死亡而退出保障的
[单选题]已知在一个双减因模型中,减因1是退保,减因2是死亡,已知:若x=40,则下列说法正确的有( )。(1)40岁的参保人在70岁时,因为死亡而退出保障的