
A.0.66
B.0.60
C.0.82
D.0.80
E.0.62
[单选题]己知某两减因表的以下条件:A.0.66B.0.60C.0.82D.0.80E.0.62
[单选题]对于两减因生存模型,已知:则T的边缘密度函数g(30)=( )。A.1/120B.1/100C.1/80D.2/15E.1/2
[单选题]对于两减因生存模型,已知:则T的边缘密度函数g(30)=( )。A.1/120B.1/100C.1/80D.2/15E.1/2
[单选题]给出以下多元减因模型如表:则66岁的被观察者在68岁至69岁之间因原因1离开观察群体的概率与67岁的被观察者在69岁以前因原因2离开观察群体的概率之和
[单选题]给出以下多元减因模型如表:则66岁的被观察者在68岁至69岁之间因原因1离开观察群体的概率与67岁的被观察者在69岁以前因原因2离开观察群体的概率之和
[单选题]对于一个双减因模型,已知:则g(20)=( )。A.0.012B.0.024C.0.036D.0.048E.0.060
[单选题]对于一个双减因模型,已知:则g(20)=( )。A.0.012B.0.024C.0.036D.0.048E.0.060
[单选题]图示为( )盾构支护形式。A.自然支护B.机械支护C.压缩空气支护D.泥浆支护
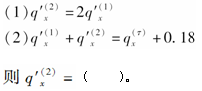
[单选题]己知,,则( )。A.-0.6631B.0.6631C.-0.0363D.0.6301E.-0.5631
[单选题]图中所示的A结构为( )。A.土工布B.HDPE膜C.GCL垫D.渗沥液收集导排系统