[单选题]

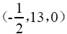
已知理赔次数N服从类分布,则N的数学期望为(  )。

A.6.50

B.7.57

C.8.33

D.8.67

E.9.05

参考答案与解析:

相关试题

已知<img border="0" src="https://img.zhaotiba.com/fujian/20220830/kqeledzgwkr.jpg &q

[单选题]已知,0≤x≤80,则20岁人的剩余寿命的方差为(  )。A.45B.46C.47.7D.289.3E.326.5

  • 查看答案
  • 已知(1)<img border="0" src="https://img.zhaotiba.com/fujian/20220830/xkplbtbggtj.png

    [单选题]已知(1);(2);(3)=。运用K-J修匀法,求()()=(  )。A.B.C.D.E.

  • 查看答案
  • <img border="0" src="https://img.zhaotiba.com/fujian/20220830/wlnwetfvd4n.jpg &quo

    [单选题]该航运公司3艘船舶的平均航次时间为()。A.16.25天B.17.65天C.18.35天D.19.85天E.20.45天

  • 查看答案
  • 已知:<img border="0" src="https://img.zhaotiba.com/fujian/20220830/r5tijghmed0.png &

    [单选题]已知:,则年龄为19岁的人在36岁至75岁之间死亡的概率为(  )。A.1/9B.1/8C.1/6D.1/5E.1/3

  • 查看答案
  • <img border="0" src="https://img.zhaotiba.com/fujian/20220830/n4mgnfh0gpn.jpg &quo

    [多选题]该企业目前采用()战略。A.成本领先战略B.差异化战略C.横向一体化战略D.纵向一体化战略

  • 查看答案
  • 已知<img border="0" src="https://img.zhaotiba.com/fujian/20220830/xcqgarm2fnp.png &q

    [单选题]已知,则f30=(  )。A.0.5B.0.6C.0.7D.0.8E.0.9

  • 查看答案
  • <img border="0" src="https://img.zhaotiba.com/fujian/20220830/gavclhjqrow.jpg &quo

    [多选题]A饭店要解决员工之间薪酬分配的公平性问题,必须建立科学的()机制。A.薪酬调查B.薪酬结构C.定员管理D.晋升管理E.绩效考评

  • 查看答案
  • <img border="0" src="https://img.zhaotiba.com/fujian/20220830/vungubzatdr.jpg &quo

    [单选题]项目B的投资回收期的整数年份是()。A.1B.2C.3D.4

  • 查看答案
  • <img border="0" src="https://img.zhaotiba.com/fujian/20220830/csagwixhtux.jpg &quo

    [单选题]甲施工企业计算得出四个分部分项工程的费用合计为35万元,则措施项目费合计为()万元。A.0.35B.0.70C.1.05D.1.40

  • 查看答案
  • <img border="0" src="https://img.zhaotiba.com/fujian/20220830/myxyjmsijmr.jpg &quo

    [多选题]该业务员运用的预测方法有()。A.定量预测B.定性预测C.短期预测D.中期预测

  • 查看答案
  • 已知理赔次数N服从<img border="0" src="https://img.zhaotiba.com/fujian/20220830/gqiagkxfrmy