
A.1/58
B.1/37
C.1/56
D.1/55
E.1/54
[单选题]( )A.13B.7C.0D.-6
[单选题]若有以下程序:程序运行后,输出的结果是( )。A.20B.24C.25D.15
[单选题]下图喷头属于( )喷头。A.闭式B.水幕C.直立D.撞击型细水流
[问答题]某分部工程如下表:(1)请绘制此工作日单代号网络图。(2)请绘制该工程的双代号时标网络图。(3)请指出关键线路。(4)请计算C,E,H三项工作的六项时
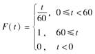
[问答题]设函数,则-----------.
[单选题]函数在处的微分是( )。A.B.C.D.
[单选题]函数在处的微分是( )。A.B.C.D.
[单选题]函数在处的微分是( )。A.B.C.D.
[单选题]函数在处的微分是( )。A.B.C.D.
[单选题]函数在处的微分是( )。A.B.C.D.