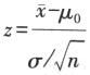
A.
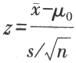
B.
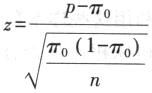
C.
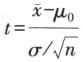
D.
E.
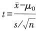
[多选题] 大样本情况下,总体均值检验的统计量可能为()。A . AB . BC . CD . DE . E
[多选题]大样本情况下,总体均值检验的统计量可能为( )。A.B.C.D.E.
[多选题]大样本情况下,总体均值检验的统计量可能为( )。A.B.C.D.E.
[多选题]大样本情况下,总体均值检验的统计量可能为()A.B.C.D.E.
[多选题]大样本情况下~总体均值检验的统计量可能为()。A.B.C.D.E.
[多选题]大样本情况下~总体均值检验的统计量可能为()。A.B.C.D.E.
[多选题]大样本情况下~总体均值检验的统计量可能为()。A.B.C.D.E.
[多选题]大样本情况下~总体均值检验的统计量可能为()。A.B.C.D.E.
[多选题]大样本情况下~总体均值检验的统计量可能为()。A.B.C.D.E.
[多选题]大样本情况下~总体均值检验的统计量可能为()。A.B.C.D.E.