[单选题]

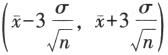
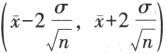
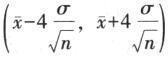
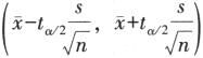
小样本情况下,总体服从正态分布,总体方差未知,总体均值在置信水平(1-a)下的置信区间为()。

A.

B.

C.

D.

参考答案与解析:

相关试题

小样本情况下,总体服从正态分布,总体方差未知,总体均值在置信水平(1-a)下的置信区间为()。