A.
B.
C.
D.
[单选题]设72台相同的变压器并列运行,变压器运行电压为U(kV),通过的功率为S(MVA),n台变压器总无功损耗为()。A.B.C.D.
[单选题]设n台相同的变压器并列运行,变压器运行电压为UkV,通过的功率为SMVA,n台变压器总无功损耗为( )。A.B.C.D.
[单选题]设n台相同的变压器并列运行,变压器运行电压为UkV,通过的功率为SMVA,n台变压器总无功损耗为()。A.B.C.D.
[单选题]N台额定功率为SN的变压器在额定电压下并联运行,已知变压器铭牌参数通过额定功率时,n台变压器的总有功损耗为( )。A.B.C.D.
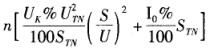
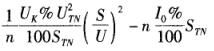
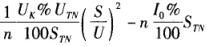
[单选题]n台相同变压器在额定功率SN,额定电压下并联运行,其总无功损耗为( )。A.B.C.D.
[单选题]两台相同变压器,其额定功率为20MVA,负荷功率为18MVA,在输电电路中并列运行,每台变压器空载损耗22kW,短路损耗135kW,两台变压器总有功损
[单选题]并列运行的变压器若短路电压不等,则各台变压器的复功率分配与变压器短路电压()。A . 成正比B . 成反比C . 无关D . 其他三个选项都不是
[单选题]n台相同变压器在额定功率STN,额定电压下并联运行,其总无功损耗为( )。[2009年真题]A.B.C.D.
[单选题]两台相同变压器,其额定功率为20MVA,负荷功率为18MVA,在输电电路中并列运行,每台变压器空载损耗22kW,短路损耗135kW,两台变压器总有功损
[单选题]两台相同变压器其额定功率为35MVA,在额定功率,额定电压下并联运行。每台变压器空载损耗294kW,短路损耗1005kW,两台变压器总有功损耗为(