[单选题]

下列哪个方程表示的系统为非线性系统?()

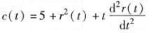
A.

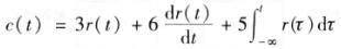
B.

C.c(t)=costωt·r(t)+5

D.

参考答案与解析:

相关试题

下列哪个方程表示的系统为非线性系统?()

[单选题]下列哪个方程表示的系统为非线性系统?()A.B.C.c(t)=costωt·r(t)+5D.

  • 查看答案
  • 下列哪个方程表示的系统为非线性系统?()

    [单选题]下列哪个方程表示的系统为非线性系统?()A.B.C.c(t)=costωt·r(t)+5D.

  • 查看答案
  • 非线性系统

    [名词解释] 非线性系统

  • 查看答案
  • 本质非线性系统

    [名词解释] 本质非线性系统

  • 查看答案
  • 非线性系统的特征有哪些?

    [问答题] 非线性系统的特征有哪些?

  • 查看答案
  • 非线性系统的最主要特性是()

    [单选题]非线性系统的最主要特性是()A . 能应用叠加原理B . 不能应用叠加原理C . 能线性化D . 不能线性化

  • 查看答案
  • 本质非线性系统在工作点附近存在()等严重非线性性质情况。

    [填空题] 本质非线性系统在工作点附近存在()等严重非线性性质情况。

  • 查看答案
  • 电控汽油发动机控制方式按系统输出量和输入量的关系,可分为线性系统和非线性系统。

    [判断题] 电控汽油发动机控制方式按系统输出量和输入量的关系,可分为线性系统和非线性系统。A . 正确B . 错误

  • 查看答案
  • 线性系统

    [名词解释] 线性系统

  • 查看答案
  • 下列系统(其中y(n)为输出序列,x(n)为输入序列)中哪个属于线性系统?()

    [单选题]下列系统(其中y(n)为输出序列,x(n)为输入序列)中哪个属于线性系统?()A . y(n)=y(n-1)x(n)B . y(n)=x(2n)C . y(n)=x(n)+1D . y(n)=x(n)-x(n-1)

  • 查看答案
  • 下列哪个方程表示的系统为非线性系统?()