[单选题]

A.

B.

C.

D.

参考答案与解析:

相关试题

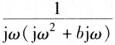
<img border="0" style="width: 211px; height: 179px;" src="https://img.zh

[单选题]A.B.C.D.

  • 查看答案
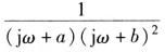
  • <img border="0" style="width: 211px; height: 179px;" src="https://img.zh

    [单选题]A.B.C.D.

  • 查看答案
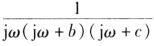
  • <img border="0" style="width: 211px; height: 238px;" src="https://img.zh

    [单选题]A.开口功能B.闭口功能C.开口和闭口功能D.肌肉收缩时牵引下颌骨向同侧运动E.牵引下颌骨前伸和侧方运动

  • 查看答案
  • <img border="0" style="width: 211px; height: 238px;" src="https://img.zh

    [单选题]A.开口功能B.闭口功能C.开口和闭口功能D.肌肉收缩时牵引下颌骨向同侧运动E.牵引下颌骨前伸和侧方运动

  • 查看答案
  • <img border="0" style="width: 211px; height: 134px;" src="https://img.zh

    [单选题]A.保持功能B.置“0”功能C.置“1”功能D.计数功能

  • 查看答案
  • <img border="0" style="width: 614px; height: 211px;" src="https://img.zh

    [单选题]A.4B.6.8C.8D.9

  • 查看答案
  • <img border="0" style="width: 591px; height: 211px;" src="https://img.zh

    [单选题]A.B.C.D.

  • 查看答案
  • <img border="0" style="width: 600px; height: 211px;" src="https://img.zh

    [单选题]A.24.67tB.22.2tC.2.47tD.24.92t

  • 查看答案
  • <img border="0" style="width: 606px; height: 211px;" src="https://img.zh

    [单选题]A.B.C.D.

  • 查看答案
  • <img border="0" style="width: 614px; height: 211px;" src="https://img.zh

    [单选题]A.4B.6.8C.8D.9

  • 查看答案
  • <img border="0" style="width: 211px; height: 179px;" src="https://img.zh