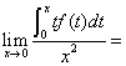
[单选题]

是连续函数,且,则 ( ).

A.0

B.

C.1

D.2

参考答案与解析:

相关试题

设<img src="https://img.zhaotiba.com/fujian/20220902/tzykopadimz.png ">( ).

[单选题]设( ).A.1 B.∞ C.0 D.2

  • 查看答案
  • 设<img src="https://img.zhaotiba.com/fujian/20220902/54vrcrxoyzq.png ">,则<img src=

    [单选题]设,则( ).A. B.2 C. D.0

  • 查看答案
  • 设<img src="https://img.zhaotiba.com/fujian/20220902/xqratumgo25.png ">求 <img src=

    [问答题]设求 .

  • 查看答案
  • 设D是由直线<img src="https://img.zhaotiba.com/fujian/20220902/rzwjevunsai.png ">和<img

    [单选题]设D是由直线和所围成的平面图形,其面积A =( ).A.1 B.0 C.0.5D.

  • 查看答案
  • 如果<img src="https://img.zhaotiba.com/fujian/20220902/2zctznymdbv.png ">是<img src=

    [单选题]如果是的原函数,则另一个原函数是 ( )A. B. C.sin2x D.cos2x

  • 查看答案
  • 设<img src="https://img.zhaotiba.com/fujian/20220902/pvjkog4k01t.png ">,则<img src=

    [单选题]设,则是的( ).A.可去间断点 B.跳跃间断点C.无穷间断点 D.连续点

  • 查看答案
  • 设<img src="https://img.zhaotiba.com/fujian/20220902/h5mkb5wxpei.png ">则<img src=&

    [单选题]设则( ).A. B. C. D.

  • 查看答案
  • 已知<img src="https://img.zhaotiba.com/fujian/20220902/kkpx10ye24c.png ">且<img src=

    [单选题]已知且,则y= ( )A. B. C. D.

  • 查看答案
  • <img src="https://img.zhaotiba.com/fujian/20220902/u1fcmjkvlqv.png ">( ).

    [单选题]( ).A.0 B.﹣1 C.1 D.∞

  • 查看答案
  • <img src="https://img.zhaotiba.com/fujian/20220902/b22xmkjswns.png ">( ).

    [单选题]( ).A. B.C. D.

  • 查看答案
  • 设<img src="https://img.zhaotiba.com/fujian/20220902/eholwkumqxb.png ">是连续函数,且<img