
A.17
B.18
C.19
D.20
[单选题]某项目的双代号网络图如下所示,该项目的工期为()。A.17B.18C.19D.20
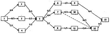
[多选题]某工程项目的网络计划如下面双代号网络计划所示(时间单位:周)。根据以上资料,回答下列问题。关于网络计划中工作之间逻辑关系的说法,正确的为( )。A.工
[单选题]某工程项目的网络计划如下面双代号网络计划所示(时间单位:周)。根据以上资料,回答下列问题。该工程项目的工期为( )周。A.15B.17C.19D.21
[多选题]某工程项目的网络计划如下面双代号网络计划所示(时间单位:周)。根据以上资料,回答下列问题。该工程项目进度计划的关键线路为( )。A.①-②-④-⑤-⑥
[单选题]某工程项目的网络计划如下面双代号网络计划所示(时间单位:周)。根据以上资料,回答下列问题。在该网络计划中,工作F的总时差为( )周。A.2B.3C.4
[单选题]某双代号网络图如下图所示,存在的错误是( )。A.出现无箭头连线B.出现无箭头节点连线C.出现多个起点节点D.工作代号相同
[单选题]某双代号网络图如下图所示,正确的是( )。A.工作C.D 应同时完成B.工作B的紧后工作只有工作C.DC.工作C.D完成后即可进行工作GD.工作D.完
[多选题]某单代号网络图如下图所示,存在的错误有( )。A.多个起点节点B.有多余虚箭线C.出现交叉箭线D.没有终点节点E.出现循环回路
[问答题]下图给出了一个信息系统项目的进度计划网络图(含活动历时)下表给出了该项目各项活动的历时和成本估算值问题:1、(1)请指出该项目的关键路径。(2)请计算
[单选题]下面双代号网络图中,15代表的是( )。A.间隔天数B.持续时间C.自由时差D.总时差