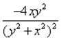
,则
=( ).A.
B.
C.
D.
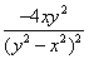
[单选题]设,则=( ).A. B. C. D.
[单选题]都存在是函数在点处有极限的( ).A.必要条件 B.充分条件 C.充要条件 D.无关条件
[单选题]( ).A.1 B.﹣1C.2 D.﹣2
[单选题]A.是最钟情于酒的诗人B.写了很多关于酒的诗篇C.写酒的诗多为经典之作D.酒是写诗时不可或缺的
[单选题]甲状腺显像的剂量是()A.74~185GBqB.740~1850MBqC.74~185kBqD.74~185MBqE.7.4~18.5MBq
[单选题]A.7744AB.8272AC.7128AD.8800A
[单选题]( ).A.ln2 B.ln4 C.0 D.1
[单选题]计算( ).A.B. C. D.