
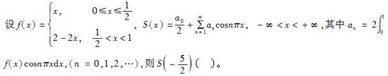
A.1/2
B.
C.3/4
D.
[单选题]A.1/2B.C.3/4D.
[单选题]A.舌下间隙感染B.眶下间隙感染C.下颌下间隙感染D.咬肌间隙感染E.腐败坏死性口底蜂窝织炎
[单选题]A.舌下间隙感染B.眶下间隙感染C.下颌下间隙感染D.咬肌间隙感染E.腐败坏死性口底蜂窝织炎
[单选题]A.B公司新业务中趸缴业务占比较大B.A公司新业务中趸缴业务占比较大C.A公司新业务保单缴费年限比B公司略长D.B公司新业务保单缴费年限比A公司略长
[单选题]A.B.u(t)=-1(t-1)+2×1(t-2)-1(t-3)(V)C.u(t)=1(t-1)-1(t-2)(V)D.u(t)=-1(t+1)+1(
[单选题]A.0VB.7.64VC.10VD.12V
[单选题]A.0VB.7.64VC.10VD.12V
[单选题]A.B.u(t)=-1(t-1)+2×1(t-2)-1(t-3)(V)C.u(t)=1(t-1)-1(t-2)(V)D.u(t)=-1(t+1)+1(
[单选题]A.2B.3C.4D.5
[单选题]A.42380B.25996C.9612D.8192