[单选题]

A.

B.

C.

D.

参考答案与解析:

相关试题

<img border="0" style="width: 303px; height: 100px;" src="https://img.zh

[单选题]A.B.C.D.

  • 查看答案
  • <img border="0" style="width: 618px; height: 303px;" src="https://img.zh

    [单选题]A.睾丸癌(精原细胞瘤)B.睾丸血肿C.睾丸结核D.睾丸破裂

  • 查看答案
  • <img border="0" style="width: 618px; height: 303px;" src="https://img.zh

    [单选题]A.睾丸癌(精原细胞瘤)B.睾丸血肿C.睾丸结核D.睾丸破裂

  • 查看答案
  • <img border="0" style="width: 303px; height: 115px;" src="https://img.zh

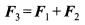
    [单选题]A.条件(1)充分,但条件(2)不充分。B.条件(2)充分,但条件(1)不充分。C.条件(1)和条件(2)单独都不充分,但条件(1)和条件(2)联合起

  • 查看答案
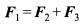
  • <img border="0" style="width: 303px; height: 115px;" src="https://img.zh

    [单选题]A.条件(1)充分,但条件(2)不充分。B.条件(2)充分,但条件(1)不充分。C.条件(1)和条件(2)单独都不充分,但条件(1)和条件(2)联合起

  • 查看答案
  • <img border="0" style="width: 247px; height: 303px;" src="https://img.zh

    [单选题]A.上颌骨B.下颌骨C.颧骨D.鼻骨E.额骨

  • 查看答案
  • <img border="0" style="width: 303px; height: 189px;" src="https://img.zh

    [单选题]A.仅见于乳牙B.仅见于恒牙C.属常染色体隐性遗传病D.发育障碍主要位于釉质E.发育障碍主要位于牙本质

  • 查看答案
  • <img border="0" style="width: 247px; height: 303px;" src="https://img.zh

    [单选题]A.上颌骨B.下颌骨C.颧骨D.鼻骨E.额骨

  • 查看答案
  • <img border="0" style="width: 303px; height: 105px;" src="https://img.zh

    [单选题]A.B.C.D.

  • 查看答案
  • <img border="0" style="width: 618px; height: 303px;" src="https://img.zh

    [单选题]A.11°30′B.36°56′C.48°26′D.59°56′

  • 查看答案
  • <img border="0" style="width: 303px; height: 100px;" src="https://img.zh