[多选题]

根据《建筑地基基础设计规范》(GB 50007—2011),下列各项属于边坡支挡结构土压力的计算应该符合的规定有(  )。

A.计算支挡结构的土压力时,可以按照主动土压力计算

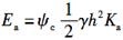
B.主动土压力应按照公式计算,其中h为挡土结构高度

C.填土为无黏性土时,主动土压力系数可以按库仑土压力理论确定

D.当支挡结构后缘有较陡峻的稳定岩石坡面,岩坡的坡角θ<(45°+φ/2)时,应按有限范围填土计算土压力

参考答案与解析:

相关试题

根据《建筑地基基础设计规范》(GB50007-2011),下列各项属于边坡支挡结构土压力的计算应该符合的规定有()。

[多选题]根据《建筑地基基础设计规范》(GB50007-2011),下列各项属于边坡支挡结构土压力的计算应该符合的规定有()。A.计算支挡结构的土压力时,可以按

  • 查看答案
  • 根据《建筑地基基础设计规范》(GB50007-2011),下列各项属于边坡支挡结构土压力的计算应该符合的规定有()。

    [多选题]根据《建筑地基基础设计规范》(GB50007-2011),下列各项属于边坡支挡结构土压力的计算应该符合的规定有()。A.计算支挡结构的土压力时,可以按

  • 查看答案
  • 根据《建筑地基基础设计规范》(GB 50007—2011),下列各项符合扩展基础构造要求的是(  )。

    [多选题]根据《建筑地基基础设计规范》(GB 50007—2011),下列各项符合扩展基础构造要求的是(  )。A.阶梯形基础的每阶高度不宜超过300mmB.底

  • 查看答案
  • 根据《建筑地基基础设计规范》(GB 50007—2011),下列关于计算地基变形的规定正确的是(  )。

    [多选题]根据《建筑地基基础设计规范》(GB 50007—2011),下列关于计算地基变形的规定正确的是(  )。A.对于砌体承重结构,地基变形应由沉降量控制B

  • 查看答案
  • 按《建筑地基基础设计规范》(GB50007-2011),在计算挡土墙土压力或滑坡

    [单选题]按《建筑地基基础设计规范》(GB50007-2011),在计算挡土墙土压力或滑坡稳定性时应采用()荷载效应组合。()A . 正常使用极限状态下作用的标准组合B . 承载能力极限状态下作用的基本组合C . 正常使用极限状态下作用的准永久组合D . 承载能力极限状态下作用准永久组合

  • 查看答案
  • 按《建筑地基基础设计规范》(GB50007-2011),下列各项符合扩展基础构造

    [多选题] 按《建筑地基基础设计规范》(GB50007-2011),下列各项符合扩展基础构造要求的是()。A . 阶梯形基础的每阶高度不宜超过300mmB . 底板受力钢筋的最小直径不宜小于10mm,间距不宜大于200mm;也不宜小于100mmC . 墙下钢筋混凝土条形基础纵向分布钢筋的直径不小于8mm,间距不大于300mmD . 当有垫层时钢筋保护层的厚度不小于70mm,无垫层时不小于40mm

  • 查看答案
  • 根据《建筑地基基础设计规范》(GB50007-2011),下列各项符合扩展基础构造要求的是()。

    [多选题]根据《建筑地基基础设计规范》(GB50007-2011),下列各项符合扩展基础构造要求的是()。A.阶梯形基础的每阶高度不宜超过300mmB.底板受力

  • 查看答案
  • 根据《建筑地基基础设计规范》(GB50007-2011),下列各项符合扩展基础构造要求的是()。

    [多选题]根据《建筑地基基础设计规范》(GB50007-2011),下列各项符合扩展基础构造要求的是()。A.阶梯形基础的每阶高度不宜超过300mmB.底板受力

  • 查看答案
  • 《建筑地基基础设计规范>GB50007-2011规定地基基础设计按()的原则。(

    [单选题]《建筑地基基础设计规范>GB50007-2011规定地基基础设计按()的原则。()A . 强度设计B . 变形设计C . 稳定设计D . 耐久性设计

  • 查看答案
  • 根据《建筑地基基础设计规范》(GB50007-2011),下列关于计算地基变形的规定正确的是()。

    [多选题]根据《建筑地基基础设计规范》(GB50007-2011),下列关于计算地基变形的规定正确的是()。A.对于砌体承重结构,地基变形应由沉降量控制B.对于

  • 查看答案
  • 根据《建筑地基基础设计规范》(GB 50007—2011),下列各项属于边坡支挡结构土压力的计算应该符合的规定有(  )。