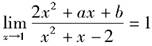
[单选题]

,则必有(  )。[2013年真题]

A.a=1,b=2

B.a=1,b=-2

C.a=-1,b=-1

D.a=1,b=1

参考答案与解析:

相关试题

若<img border="0" style="width: 152px; height: 46px;" src="https://img.zh

[单选题]若,则必有(  )。[2013年真题]A.a=1,b=2B.a=1,b=-2C.a=-1,b=-1D.a=1,b=1

  • 查看答案
  • 若<img border="0" style="width: 152px; height: 46px;" src="https://img.zh

    [单选题]若,则必有(  )。[2013年真题]A.a=1,b=2B.a=1,b=-2C.a=-1,b=-1D.a=1,b=1

  • 查看答案
  • 若<img border="0" style="width: 152px; height: 46px;" src="https://img.zh

    [单选题]若,则必有(  )。[2013年真题]A.a=1,b=2B.a=1,b=-2C.a=-1,b=-1D.a=1,b=1

  • 查看答案
  • 若<img border="0" style="width: 152px; height: 46px;" src="https://img.zh

    [单选题]若,则必有(  )。[2013年真题]A.a=1,b=2B.a=1,b=-2C.a=-1,b=-1D.a=1,b=1

  • 查看答案
  • 若<img border="0" style="width: 152px; height: 46px;" src="https://img.zh

    [单选题]若,则必有(  )。[2013年真题]A.a=1,b=2B.a=1,b=-2C.a=-1,b=-1D.a=1,b=1

  • 查看答案
  • 若<img border="0" style="width: 152px; height: 46px;" src="https://img.zh

    [单选题]若,则必有(  )。[2013年真题]A.a=1,b=2B.a=1,b=-2C.a=-1,b=-1D.a=1,b=1

  • 查看答案
  • 若<img border="0" style="width: 152px; height: 46px;" src="https://img.zh

    [单选题]若,则必有(  )。[2013年真题]A.a=1,b=2B.a=1,b=-2C.a=-1,b=-1D.a=1,b=1

  • 查看答案
  • 若<img border="0" style="width: 152px; height: 46px;" src="https://img.zh

    [单选题]若,则必有(  )。[2013年真题]A.a=1,b=2B.a=1,b=-2C.a=-1,b=-1D.a=1,b=1

  • 查看答案
  • 若<img border="0" style="width: 152px; height: 46px;" src="https://img.zh

    [单选题]若,则必有(  )。[2013年真题]A.a=1,b=2B.a=1,b=-2C.a=-1,b=-1D.a=1,b=1

  • 查看答案
  • 若<img border="0" style="width: 152px; height: 46px;" src="https://img.zh

    [单选题]若,则必有(  )。[2013年真题]A.a=1,b=2B.a=1,b=-2C.a=-1,b=-1D.a=1,b=1

  • 查看答案
  • 若<img border="0" style="width: 152px; height: 46px;" src="https://img.zh