当前位置:
找题吧
>
土木工程师
专业基础道路
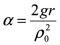
[单选题]
A.
B.
C.
D.
参考答案与解析:
相关试题
<img border="0" style="width: 619px; height: 227px;" src="https://img.zh
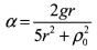
[单选题]A.B.C.D.
查看答案
<img border="0" style="width: 619px; height: 227px;" src="https://img.zh
[单选题]A.20年B.40年C.50年D.100年
查看答案
<img border="0" style="width: 619px; height: 227px;" src="https://img.zh
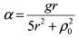
[单选题]A.B.C.D.
查看答案
<img border="0" style="width: 619px; height: 227px;" src="https://img.zh
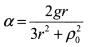
[单选题]A.B.C.D.
查看答案
<img border="0" style="width: 619px; height: 227px;" src="https://img.zh
[单选题]A.B.C.D.
查看答案
<img border="0" style="width: 619px; height: 227px;" src="https://img.zh
[单选题]A.20年B.40年C.50年D.100年
查看答案
<img border="0" style="width: 619px; height: 227px;" src="https://img.zh
[单选题]A.B.C.D.
查看答案
<img border="0" style="width: 619px; height: 227px;" src="https://img.zh
[单选题]A.B.C.D.
查看答案
<img border="0" style="width: 619px; height: 619px;" src="https://img.zh
[单选题]A.肝囊肿合并感染B.肝包虫病C.肝脓肿D.肝癌合并液化
查看答案
<img border="0" style="width: 619px; height: 619px;" src="https://img.zh
[单选题]A.肝囊肿合并感染B.肝包虫病C.肝脓肿D.肝癌合并液化
查看答案