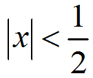
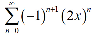
[单选题]

时,函数的麦克劳林展开式正确的是(  )。[2012年真题]

A.

B.

C.

D.

参考答案与解析:

相关试题

当<img border="0" style="width: 135px; height: 114px;" src="https://img.z

[单选题]当时,函数的麦克劳林展开式正确的是(  )。[2012年真题]A.B.C.D.

  • 查看答案
  • 当<img border="0" style="width: 135px; height: 114px;" src="https://img.z

    [单选题]当时,函数的麦克劳林展开式正确的是(  )。[2012年真题]A.B.C.D.

  • 查看答案
  • 当<img border="0" style="width: 135px; height: 114px;" src="https://img.z

    [单选题]当时,函数的麦克劳林展开式正确的是(  )。[2012年真题]A.B.C.D.

  • 查看答案
  • 当<img border="0" style="width: 135px; height: 114px;" src="https://img.z

    [单选题]当时,函数的麦克劳林展开式正确的是(  )。[2012年真题]A.B.C.D.

  • 查看答案
  • 当<img border="0" style="width: 135px; height: 114px;" src="https://img.z

    [单选题]当时,函数的麦克劳林展开式正确的是(  )。[2012年真题]A.B.C.D.

  • 查看答案
  • 当<img border="0" style="width: 135px; height: 114px;" src="https://img.z

    [单选题]当时,函数的麦克劳林展开式正确的是(  )。[2012年真题]A.B.C.D.

  • 查看答案
  • 当<img border="0" style="width: 135px; height: 114px;" src="https://img.z

    [单选题]当时,函数的麦克劳林展开式正确的是(  )。[2012年真题]A.B.C.D.

  • 查看答案
  • 当<img border="0" style="width: 135px; height: 114px;" src="https://img.z

    [单选题]当时,函数的麦克劳林展开式正确的是(  )。[2012年真题]A.B.C.D.

  • 查看答案
  • 当<img border="0" style="width: 135px; height: 114px;" src="https://img.z

    [单选题]当时,函数的麦克劳林展开式正确的是(  )。[2012年真题]A.B.C.D.

  • 查看答案
  • 曲线<img border="0" style="width: 114px; height: 24px;" src="https://img.z

    [问答题]曲线上曲率为的点的坐标是___________。(曲率计算公式需记住)

  • 查看答案
  • 当<img border="0" style="width: 135px; height: 114px;" src="https://img.z