[单选题]

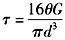
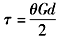
圆轴直径为d,剪切弹性模量为G,在外力作用下发生扭转变形,现测得单位长度扭转角为θ,圆轴的最大切应力是(  )。[2013、2010年真题]

A.

B.

C.

D.

参考答案与解析:

相关试题

圆轴直径为d,剪切弹性模量为G,在外力作用下发生扭转变形,现测得单位长度扭转角为θ,圆轴的最大切应力是(  )。[2013、2010年真题]

[单选题]圆轴直径为d,剪切弹性模量为G,在外力作用下发生扭转变形,现测得单位长度扭转角为θ,圆轴的最大切应力是(  )。[2013、2010年真题]A.B.C

  • 查看答案
  • 圆轴直径为d,剪切弹性模量为G,在外力作用下发生扭转变形,现测得单位长度扭转角为θ,圆轴的最大切应力是(  )。[2013、2010年真题]

    [单选题]圆轴直径为d,剪切弹性模量为G,在外力作用下发生扭转变形,现测得单位长度扭转角为θ,圆轴的最大切应力是(  )。[2013、2010年真题]A.B.C

  • 查看答案
  • 圆轴直径为d,剪切弹性模量为G,在外力作用下发生扭转变形,现测得单位长度扭转角为θ,圆轴的最大切应力是(  )。[2013、2010年真题]

    [单选题]圆轴直径为d,剪切弹性模量为G,在外力作用下发生扭转变形,现测得单位长度扭转角为θ,圆轴的最大切应力是(  )。[2013、2010年真题]A.B.C

  • 查看答案
  • 圆轴直径为d,剪切弹性模量为G,在外力作用下发生扭转变形,现测得单位长度扭转角为θ,圆轴的最大切应力是(  )。[2013、2010年真题]

    [单选题]圆轴直径为d,剪切弹性模量为G,在外力作用下发生扭转变形,现测得单位长度扭转角为θ,圆轴的最大切应力是(  )。[2013、2010年真题]A.B.C

  • 查看答案
  • 圆轴直径为d,剪切弹性模量为G,在外力作用下发生扭转变形,现测得单位长度扭转角为θ,圆轴的最大切应力是(  )。[2013、2010年真题]

    [单选题]圆轴直径为d,剪切弹性模量为G,在外力作用下发生扭转变形,现测得单位长度扭转角为θ,圆轴的最大切应力是(  )。[2013、2010年真题]A.B.C

  • 查看答案
  • 圆轴直径为d,剪切弹性模量为G,在外力作用下发生扭转变形,现测得单位长度扭转角为θ,圆轴的最大切应力是(  )。[2013、2010年真题]

    [单选题]圆轴直径为d,剪切弹性模量为G,在外力作用下发生扭转变形,现测得单位长度扭转角为θ,圆轴的最大切应力是(  )。[2013、2010年真题]A.B.C

  • 查看答案
  • 圆轴直径为d,剪切弹性模量为G,在外力作用下发生扭转变形,现测得单位长度扭转角为θ,圆轴的最大切应力是(  )。[2013、2010年真题]

    [单选题]圆轴直径为d,剪切弹性模量为G,在外力作用下发生扭转变形,现测得单位长度扭转角为θ,圆轴的最大切应力是(  )。[2013、2010年真题]A.B.C

  • 查看答案
  • 圆轴直径为d,剪切弹性模量为G,在外力作用下发生扭转变形,现测得单位长度扭转角为θ,圆轴的最大切应力是(  )。[2013、2010年真题]

    [单选题]圆轴直径为d,剪切弹性模量为G,在外力作用下发生扭转变形,现测得单位长度扭转角为θ,圆轴的最大切应力是(  )。[2013、2010年真题]A.B.C

  • 查看答案
  • 圆轴直径为d,剪切弹性模量为G,在外力作用下发生扭转变形,现测得单位长度扭转角为θ,圆轴的最大切应力是(  )。[2013、2010年真题]

    [单选题]圆轴直径为d,剪切弹性模量为G,在外力作用下发生扭转变形,现测得单位长度扭转角为θ,圆轴的最大切应力是(  )。[2013、2010年真题]A.B.C

  • 查看答案
  • 圆轴直径为d,剪切弹性模量为G,在外力作用下发生扭转变形,现测得单位长度扭转角为θ,圆轴的最大切应力是(  )。

    [单选题]圆轴直径为d,剪切弹性模量为G,在外力作用下发生扭转变形,现测得单位长度扭转角为θ,圆轴的最大切应力是(  )。A.B.C.D.

  • 查看答案
  • 圆轴直径为d,剪切弹性模量为G,在外力作用下发生扭转变形,现测得单位长度扭转角为θ,圆轴的最大切应力是(  )。[2013、2010年真题]