A.c>0
B.0<λ<1
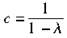
C.c=1-λ
D.
[单选题]离散型随机变量X的分布为P(X=k)=cλk(k=0,1,2…),则不成立的是( )。A.c>0B.0<λ<1C.c=1-λD.
[单选题]离散型随机变量X的分布为P(X=k)=cλk(k=0,1,2,…),则不成立的是( )。A.c>0B.0<λ<1C.c=1-λD.
[单选题]离散型随机变量X的分布为P(X=k)=cλk(k=0,1,2…),则不成立的是( )。A.c>0B.0<λ<1C.c=1-λD.
[单选题]离散型随机变量X的分布为P(X=k)=cλk(k=0,1,2…),则不成立的是( )。A.c>0B.0<λ<1C.c=1-λD.
[单选题]离散型随机变量X的分布为P(X=k)=cλk(k=0,1,2,…),则不成立的是( )。A.c>0B.0<λ<1C.c=1-λD.
[单选题]离散型随机变量X的分布为P(X=k)=cλk(k=0,1,2,…),则不成立的是( )。A.c>0B.0<λ<1C.c=1-λD.
[单选题]离散型随机变量X的分布为P(X=k)=cλk(k=0,1,2,…),则不成立的是( )。A.c>0B.0<λ<1C.c=1-λD.
[单选题]离散型随机变量X的分布为P(X=k)=cλk(k=0,1,2,…),则不成立的是( )。A.c>0B.0<λ<1C.c=1-λD.
[单选题]离散型随机变量X的分布为P(X=k)=cλk(k=0,1,2,…),则不成立的是( )。A.c>0B.0<λ<1C.c=1-λD.
[单选题]离散型随机变量X的分布为P(X=k)=cλk(k=0,1,2…),则不成立的是( )。A.c>0B.0<λ<1C.c=1-λD.