A.
B.
C.
D.
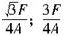
[单选题]横截面面积为A的等截面直杆受力F作用发生轴向拉伸变形,其30°斜截面上的正应力和切应力分别为( )。A.B.C.D.
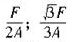
[单选题]横截面面积为A的等截面直杆受力F作用发生轴向拉伸变形,其30°斜截面上的正应力和切应力分别为( )。A.B.C.D.
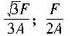
[单选题]横截面面积为A的等截面直杆受力F作用发生轴向拉伸变形,其30°斜截面上的正应力和切应力分别为( )。A.B.C.D.
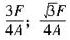
[单选题]横截面面积为A的等截面直杆受力F作用发生轴向拉伸变形,其30°斜截面上的正应力和切应力分别为( )。A.B.C.D.
[单选题]横截面面积为A的等截面直杆受力F作用发生轴向拉伸变形,其30°斜截面上的正应力和切应力分别为( )。A.B.C.D.
[单选题]横截面面积为A的等截面直杆受力F作用发生轴向拉伸变形,其30°斜截面上的正应力和切应力分别为()。A.B.C.D.
[单选题]横截面面积为A的等截面直杆受力F作用发生轴向拉伸变形,其30°斜截面上的正应力和切应力分别为( )。A.B.C.D.
[单选题]横截面面积为A的等截面直杆受力F作用发生轴向拉伸变形,其30°斜截面上的正应力和切应力分别为( )。A.B.C.D.
[单选题]横截面面积为A的等截面直杆受力F作用发生轴向拉伸变形,其30°斜截面上的正应力和切应力分别为( )。A.B.C.D.
[单选题]横截面面积为A的等截面直杆受力F作用发生轴向拉伸变形,其30°斜截面上的正应力和切应力分别为( )。A.B.C.D.