A.
B.
C.
D.
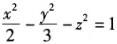
[单选题]下列方程中代表双叶双曲面的是()。A.B.C.D.
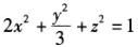
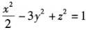
[单选题]下列方程中代表单叶双曲面的是( )。A.B.C.D.
[单选题]下列方程中代表单叶双曲面的是( )。A.B.C.D.
[单选题]下列方程中代表单叶双曲面的是( )。A.B.C.D.
[单选题]下列方程中代表单叶双曲面的是()。A.B.C.D.
[单选题]下列方程中代表单叶双曲面的是()。A.B.C.D.
[单选题]下列方程中代表单叶双曲面的是( )。A.B.C.D.
[单选题]下列方程中代表单叶双曲面的是( )。A.B.C.D.
[单选题]下列方程中代表单叶双曲面的是( )。A.B.C.D.
[单选题]下列方程中代表单叶双曲面的是( )。A.B.C.D.