
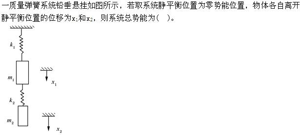
A.
B.
C.
D.
[单选题]A.条件(1)充分,但条件(2)不充分。B.条件(2)充分,但条件(1)不充分。C.条件(1)和条件(2)单独都不充分,但条件(1)和条件(2)联合起
[单选题]A.条件(1)充分,但条件(2)不充分。B.条件(2)充分,但条件(1)不充分。C.条件(1)和条件(2)单独都不充分,但条件(1)和条件(2)联合起
[单选题]A.颈内动脉近段B.颈外动脉C.颈动脉球部D.颈总动脉E.无名动脉
[单选题]A.舌动脉B.面动脉C.甲状腺上动脉D.颈内动脉E.颞浅动脉
[单选题]A.咬肌B.颞肌C.翼内肌D.翼外肌E.颊肌
[单选题]A.舌动脉B.面动脉C.甲状腺上动脉D.颈内动脉E.颞浅动脉
[单选题]A.咬肌B.颞肌C.翼内肌D.翼外肌E.颊肌
[单选题]A.趸缴,期缴B.期缴,趸缴C.保费先升后降D.条件不足,无法确定