
A.
B.
C.
D.
[多选题]A.肿瘤起源于B淋巴细胞B.瘤细胞形态幼稚C.淋巴窦内充满瘤细胞D.结结构可全部消失E.可表达T细胞抗原CD5
[单选题]A.(1)(2)B.(1)(4)C.(3)(4)D.(2)(3)
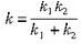
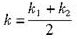
[单选题]A.3.5B.3C.2.5D.2E.1.5
[单选题]A.3.5B.3C.2.5D.2E.1.5
[单选题]A.(1)(2)B.(1)(4)C.(3)(4)D.(2)(3)
[单选题]A.上起眉弓下至下颌骨下缘B.上起发际下至锁骨水平C.上起发际下至舌骨水平D.上起眉弓下至舌骨水平E.上至颅底下至颈部区域
[单选题]A.上起眉弓下至下颌骨下缘B.上起发际下至锁骨水平C.上起发际下至舌骨水平D.上起眉弓下至舌骨水平E.上至颅底下至颈部区域
[单选题]A.溃疡B.蔓状血管瘤C.舌癌D.舌下腺囊肿E.小黏液腺瘤