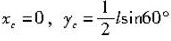
[单选题]

A.

B.

C.

D.

参考答案与解析:

相关试题

<img border="0" style="width: 617px; height: 233px;" src="https://img.zh

[单选题]A.B.C.D.

  • 查看答案
  • <img border="0" style="width: 617px; height: 233px;" src="https://img.zh

    [单选题]A.(1600~1740)WB.(1750~1840)WC.(2200~2300)WD.(3100~3200)W

  • 查看答案
  • <img border="0" style="width: 617px; height: 233px;" src="https://img.zh

    [单选题]A.恶性淋巴瘤B.转移瘤C.骨髓瘤D.尤文肉瘤E.恶性纤维组织细胞瘤

  • 查看答案
  • <img border="0" style="width: 617px; height: 233px;" src="https://img.zh

    [单选题]A.(1600~1740)WB.(1750~1840)WC.(2200~2300)WD.(3100~3200)W

  • 查看答案
  • <img border="0" style="width: 532px; height: 233px;" src="https://img.zh

    [单选题]A.脂肪瘤B.纤维瘤C.软组织局限增厚D.炎性包块E.以上均不是

  • 查看答案
  • <img border="0" style="width: 609px; height: 233px;" src="https://img.zh

    [单选题]A.甲状腺腺瘤B.甲状腺癌C.甲状旁腺腺瘤D.甲状腺囊肿E.以上均不是

  • 查看答案
  • <img border="0" style="width: 619px; height: 233px;" src="https://img.zh

    [单选题]A.y=-x+2B.y=x+2C.y=x-2D.y=-x-2E.y=2x+2

  • 查看答案
  • <img border="0" style="width: 618px; height: 233px;" src="https://img.zh

    [单选题]A.10B.15C.17D.21E.25

  • 查看答案
  • <img border="0" style="width: 618px; height: 233px;" src="https://img.zh

    [单选题]A.10B.15C.17D.21E.25

  • 查看答案
  • <img border="0" style="width: 619px; height: 233px;" src="https://img.zh

    [单选题]A.y=-x+2B.y=x+2C.y=x-2D.y=-x-2E.y=2x+2

  • 查看答案
  • <img border="0" style="width: 617px; height: 233px;" src="https://img.zh