[单选题]

微分方程ydx+(x-y)dy=0的通解是(  )。[2010年真题]

A.

B.

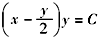
C.

D.

参考答案与解析:

相关试题

微分方程ydx+(x-y)dy=0的通解是(  )。[2010年真题]

[单选题]微分方程ydx+(x-y)dy=0的通解是(  )。[2010年真题]A.B.C.D.

  • 查看答案
  • 微分方程ydx+(x-y)dy=0的通解是(  )。[2010年真题]

    [单选题]微分方程ydx+(x-y)dy=0的通解是(  )。[2010年真题]A.B.C.D.

  • 查看答案
  • 微分方程ydx+(x-y)dy=0的通解是(  )。[2010年真题]

    [单选题]微分方程ydx+(x-y)dy=0的通解是(  )。[2010年真题]A.B.C.D.

  • 查看答案
  • 微分方程ydx+(x-y)dy=0的通解是(  )。[2010年真题]

    [单选题]微分方程ydx+(x-y)dy=0的通解是(  )。[2010年真题]A.B.C.D.

  • 查看答案
  • 微分方程ydx+(x-y)dy=0的通解是(  )。[2010年真题]

    [单选题]微分方程ydx+(x-y)dy=0的通解是(  )。[2010年真题]A.B.C.D.

  • 查看答案
  • 微分方程ydx+(x-y)dy=0的通解是(  )。[2010年真题]

    [单选题]微分方程ydx+(x-y)dy=0的通解是(  )。[2010年真题]A.B.C.D.

  • 查看答案
  • 微分方程ydx+(x-y)dy=0的通解是(  )。[2010年真题]

    [单选题]微分方程ydx+(x-y)dy=0的通解是(  )。[2010年真题]A.B.C.D.

  • 查看答案
  • 微分方程ydx+(x-y)dy=0的通解是(  )。[2010年真题]

    [单选题]微分方程ydx+(x-y)dy=0的通解是(  )。[2010年真题]A.B.C.D.

  • 查看答案
  • 微分方程ydx+(x-y)dy=0的通解是(  )。[2010年真题]

    [单选题]微分方程ydx+(x-y)dy=0的通解是(  )。[2010年真题]A.B.C.D.

  • 查看答案
  • 微分方程ydx+(x-y)dy=0的通解是(  )。[2010年真题]

    [单选题]微分方程ydx+(x-y)dy=0的通解是(  )。[2010年真题]A.B.C.D.

  • 查看答案
  • 微分方程ydx+(x-y)dy=0的通解是(  )。[2010年真题]