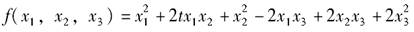
[单选题]

要使得二次型为正定的,则t的取值条件是(  )。[2012年真题]

A.-1<t<1

B.-1<t<0

C.t>0

D.t<-1

参考答案与解析:

相关试题

要使得二次型<img border="0" style="width: 414px; height: 32px;" src="https://i