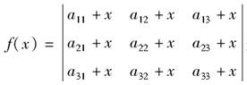
[单选题]

是x的多项式,其可能的最高方次是(  )。

A.1次

B.2次

C.3次

D.4次

参考答案与解析:

相关试题

<img border="0" style="width: 276px; height: 95px;" src="https://img.zha

[单选题]是x的多项式,其可能的最高方次是(  )。A.1次B.2次C.3次D.4次

  • 查看答案
  • <img border="0" style="width: 276px; height: 95px;" src="https://img.zha

    [单选题]是x的多项式,其可能的最高方次是(  )。A.1次B.2次C.3次D.4次

  • 查看答案
  • <img border="0" style="width: 276px; height: 95px;" src="https://img.zha

    [单选题]是x的多项式,其可能的最高方次是(  )。A.1次B.2次C.3次D.4次

  • 查看答案
  • <img border="0" style="width: 276px; height: 95px;" src="https://img.zha

    [单选题]是x的多项式,其可能的最高方次是(  )。A.1次B.2次C.3次D.4次

  • 查看答案
  • <img border="0" style="width: 276px; height: 95px;" src="https://img.zha

    [单选题]是x的多项式,其可能的最高方次是(  )。A.1次B.2次C.3次D.4次

  • 查看答案
  • <img border="0" style="width: 276px; height: 95px;" src="https://img.zha

    [单选题]是x的多项式,其可能的最高方次是(  )。A.1次B.2次C.3次D.4次

  • 查看答案
  • <img border="0" style="width: 276px; height: 95px;" src="https://img.zha

    [单选题]是x的多项式,其可能的最高方次是(  )。A.1次B.2次C.3次D.4次

  • 查看答案
  • <img border="0" style="width: 276px; height: 95px;" src="https://img.zha

    [单选题]是x的多项式,其可能的最高方次是(  )。A.1次B.2次C.3次D.4次

  • 查看答案
  • <img border="0" style="width: 276px; height: 95px;" src="https://img.zha

    [单选题]是x的多项式,其可能的最高方次是(  )。A.1次B.2次C.3次D.4次

  • 查看答案
  • <img border="0" style="width: 276px; height: 95px;" src="https://img.zha

    [单选题]是x的多项式,其可能的最高方次是(  )。A.1次B.2次C.3次D.4次

  • 查看答案
  • <img border="0" style="width: 276px; height: 95px;" src="https://img.zha