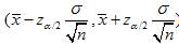
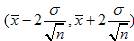
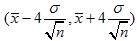
,在置信水平为1-α=95%下,总体均值的置信区间为( )。A.
B.
C.
D.
[单选题]已知总体服从正态分布,且总体标准差σ,从总体中抽取样本容量为n的产品,测得其样本均值为,在置信水平为1-α=95%下,总体均值的置信区间为( )。A
[单选题]已知总体服从正态分布,且总体标准差σ,从总体中抽取样本容量为n的产品,测得其样本均值为x,在置信水平为1-a=95%下,总体均值的置信区间为( )
[单选题]已知总体服从正态分布,且总体标准差σ,从总体中抽取样本容量为n的产品,测得其样本均值为,在置信水平为1-α=95%下,总体均值的置信区间为()A . AB . BC . CD . D
[判断题]当总体为未知的非正态分布时,只要样本容量n足够大(通常要求n≥30),样本均值仍会接近正态分布,其分布的期望值为总体均值,方差为总体方差的1/n。(
[单选题]当总体为未知的非正态分布时,当样本容量n足够大(通常要求n≥30)时,样本均值的期望值为( )。A.总体均值B.总体均值的1/nC.总体均值的D.总
[单选题]设总体X~N(μ,σ2),基于来自总体X的容量为16的简单随机样本,测得样本均值,样本方差s2=0.09,则总体均值μ的置信度为0.98的置信区间为(
[判断题]当总体服从正态分布时,样本均值一定服从正态分布,即有X~N(u,σ2)时, 。( )A.对B.错
[单选题]记总体均值为μ,方差为σ2,样本容量为n。则在重置抽样时,关于样本均值和样本方差,有:( )。[2010年初级真题]A.B.C.D.
[单选题]记总体均值为μ,方差为σ2,样本容量为n。则在重置抽样时,关于样本均值和样本方差,有:( )。[2010年初级真题]A.B.C.D.
[判断题]大样本情况下,总体服从正态分布,总体方差已知,总体均值在置信水平(1-α)下的置信区间为。( )A.对B.错