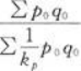
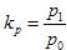
,则下列各式中的指数等价于拉氏物价指数的是( )。A.
B.
C.
D.
[单选题]患者,男,缺失,可摘局部义齿修复,基牙,采用弯制卡环,塑料基托连接,基牙为二类导线,应采用下列哪类卡环A.单臂卡环B.下返卡环C.长臂卡环D.上返卡环
[问答题]f(x)=,求f{f(x)}
[问答题]某工厂生产两种产品的联合成本函数为,需求函数.其中分别是两种产品的价格和需求量,两种产品各生产多少时利润最大?
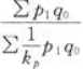
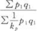
[单选题],则下列各式中的指数等价于派氏物价指数的是( )。A.B.C.D.
[B单选题]患者,男,61岁,缺失,5缺牙间隙较小,约3mm,余留牙不松,无龋损。该患者缺失首选的修复方案是A.可摘局部义齿B.隐形义齿C.双端固定桥D.单端固
[B单选题]患者,男,61岁,缺失,5缺牙间隙较小,约3mm,余留牙不松,无龋损。若为患者进行固定义齿修复,下述哪一种固位体形式效果最好A.嵌体B.桩冠C.3/
[B单选题]患者,男,61岁,缺失,5缺牙间隙较小,约3mm,余留牙不松,无龋损。为该患者进行固定义齿修复时,着重需考虑的是下述哪个问题A.基牙倒凹的深度和坡度
[单选题]缺失,咬合关系正常,烤瓷修复时,选择瓷覆盖形式,正确的是A.全瓷覆盖B.部分瓷覆盖C.舌侧1/2瓷覆盖D.舌侧1/3瓷覆盖E.舌侧1/4瓷覆盖
[单选题]缺,下颌前突,原天然牙反,根据排牙原则不宜采用的方法为A.将人工牙颈部磨短B.加大人工牙唇舌向的倾斜度,使切端向舌侧倾斜C.将人工牙颈部磨薄D.排向舌