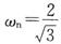
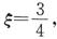
,则该系统的( )。[2014年真题]A.增益
,阻尼比
,无阻尼自然频率
B.增益
,阻尼此
,无阻尼自然频率
C.增益
,阻尼比
无阻尼自然频率
D.增益K=1,阻尼比
无阻尼自然频率
[单选题]设系统的传递函数为,则该系统的( )。[2014年真题]A.增益,阻尼比,无阻尼自然频率B.增益,阻尼此,无阻尼自然频率C.增益,阻尼比无阻尼自然频
[单选题]设,则数列{an}是( )。A.单调增而无上界B.单调增而有上界C.单调减而无下界D.单调减而有上界
[单选题]设,则数列{an}是( )。A.单调增而无上界B.单调增而有上界C.单调减而无下界D.单调减而有上界
[单选题]设,则数列{an}是( )。A.单调增而无上界B.单调增而有上界C.单调减而无下界D.单调减而有上界
[单选题]设,则数列{an}是( )。A.单调增而无上界B.单调增而有上界C.单调减而无下界D.单调减而有上界
[单选题]设,则数列{an}是( )。A.单调增而无上界B.单调增而有上界C.单调减而无下界D.单调减而有上界
[单选题]设,则数列{an}是( )。A.单调增而无上界B.单调增而有上界C.单调减而无下界D.单调减而有上界
[单选题]设,则数列{an}是( )。A.单调增而无上界B.单调增而有上界C.单调减而无下界D.单调减而有上界
[单选题]设,则数列{an}是( )。A.单调增而无上界B.单调增而有上界C.单调减而无下界D.单调减而有上界
[单选题]设,则数列{an}是( )。A.单调增而无上界B.单调增而有上界C.单调减而无下界D.单调减而有上界